Domenica 12 GIUGNO 2022 si è svolta, presso il Cerrina Race Track di Bruino, l’undicesima edizione del Trofeo Regionale di go-kart FITeL Piemonte.
È un evento sportivo amatoriale nato nel 2010 e che da allora è stato effettuato tutti gli anni, tranne che nel 2020 e 2021 a causa della pandemia.
Quest’anno finalmente ci sono state le condizioni per realizzarlo e FITeL Piemonte lo ha riproposto con entusiasmo.
Una bellissima giornata di sole ha incorniciato questa manifestazione, che anche questa volta ha avuto molti consensi da parte dei CRAL e dei concorrenti che vi hanno preso parte.
Vi ha partecipato il numero massimo di squadre che la capienza della pista consente, ovvero 17 squadre (di altrettanti CRAL ed associazioni) ognuna formata da 4 piloti.
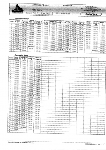
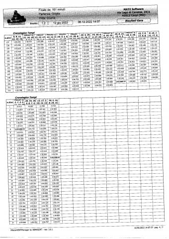
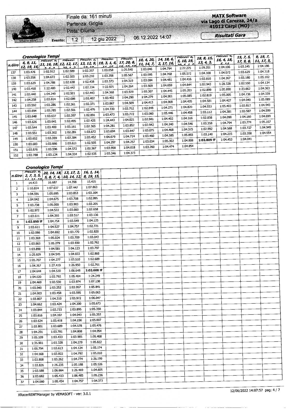
Si è dapprima disputata una sessione di prove di qualificazione di 40 minuti, nella quale si è distinto il team della ALENIA SPAZIO che ha conquistato la pole-position, dopodiché si è svolta una gara di ben 2 ore e 40 minuti!
La competizione, pur essendo una “endurance”, è stata sempre appassionante e combattutissima fino all'ultimo metro!
Ha vinto la squadra Travelcinque (che fin dal 2014 ha sempre partecipato ma non aveva mai vinto prima!).
Al 2° posto, con un distacco di soli 12 secondi e 646 millesimi dai vincitori, il CRAL SELEX ES (Leonardo Electronics).
Al 3° posto si è classificato il CRASL 19 di ASTI.
Il giro più veloce è stato realizzato dalla bravissima e applauditissima Gloria Andreis, unica concorrente donna, del Team Crasl 19 di Asti.
Al termine della competizione si sono svolte le premiazioni, durante le quali il Presidente della FITeL Piemonte ha consegnato un trofeo ai piloti delle tre squadre meglio classificate.
A tutti i piloti di tutti i team, inoltre, è stata consegnata una maglietta celebrativa dell'evento ed infine abbiamo gustato un’ottima grigliata, durante la quale sono stati estratti a sorte dei premi fra i commensali (biglietti Gardaland – QCTerme - ZOOM).
Un grande ringraziamento a tutti coloro che hanno contribuito all'evento:
- Pietro ACCOGLI e l’Uffico di Presidenza della FITeL Piemonte;
- i CRAL e i loro concorrenti che hanno entusiasticamente partecipato;
- Paola, Carmine, Erald, Gaetano (Volontari della FITeL Piemonte) che in pit-lane hanno collaborato in modo impeccabile alla gestione della gara.
Sul sito della FITeL Piemonte, oltre alle foto, potete consultare il dettaglio della classifica finale completa e di tutti i tempi sul giro di tutte le squadre.
Bruno Pedretti
































































